Kinematic Equations Breakdown!
- Abhishek Timbadia

- May 11, 2021
- 6 min read
Greetings!
It’s been a while since I did any blogs and as I have finished my production degree
in Audio Engineering I thought of expanding myself to more none music/audio related
streams like physics (one-dimensional).
I recently came across a particular set of equations called the Kinematics
Equations and I think that it requires to be handled carefully in understanding what
it is and how it is derived from. Of course, there are YouTube videos explaining this
better than I ever could, but, if anything this is also an understanding on my part.
Furthermore, before we move on into anything complicated, we must understand three main
properties (well, actually four but we already know what ‘time’ really is).
1. Speed
2. Velocity
3. Acceleration
I will briefly go over them with the help of Khan Academy resources and my
mentor’s examples/notes. So, quoting them with my understanding is what will go
on within this blog post. Feel free to comment your thoughts or message me regarding
any mistakes or phrases I might have gotten incorrectly.
Speed is,
("Speed", 2021)
For example, I was riding my bicycle at a fast speed so as to not miss my bus.
However, in physics, we usually think of speed as average speed = distance over
time. In mathematical terms (Khan, 2018):
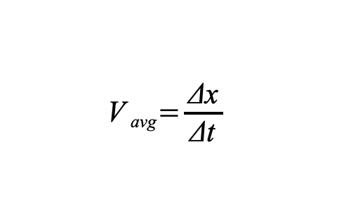
Velocity is also a type of speed but with the intention of direction or,
("Velocity", 2021)
For example, my bicycle has a lower velocity while traveling backwards than
a car does. In physics, we usually average the velocity by describing it as average
velocity = displacement over time. In mathematical terms (Khan, 2018):
A key difference between speed and velocity is that the former is a scalar quantity
and the latter is a vector quantity. Speed doesn’t need any direction as it is
the sum of the total distance traveled while velocity requires the direction we have
traveled as it gives us the displacement of the object in its starting position to its
end (Khan, n.d.).
For instance, I have taken 3 steps forwards, 2 steps backwards, 4 steps backwards.
For speed the distance would be +3 + 2 + 4 = 9 metres. However, for velocity, we
require the change of direction and hence it’s the displacement from my original
position. So, it would be +3 + (-2) + (-4) = -3 metres is my displacement. A
pictorial would make things clearer.
(Lau, 2005)
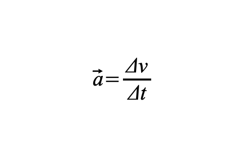
Our final one is acceleration, and it is simply,

("Acceleration", 2021)
Acceleration is also a vector quantity. An example pertaining to acceleration is
something my mentor came up with his when an object is falling down on Earth;
every second it takes to fall, it would simply increase 9.8m/s, which is equal to 9.8 m/s^2.
So, from its initial fall at 0 second to 1 second it would speed to 9.8 m/s, then the
next second it would speed up again to 9.8 m/s + 9.8 m/s (18 m/s) and then again to 9.8 m/s + 9.8 m/s + 9.8 m/s (27 m/s) and so on and so forth (Paul Erlich, personal communication, April 15th, 2021)...
In mathematical terms it would be (Khan, 2011):
Also, Δ (delta) means a change in something. And the arrow above 'a' is direction (vector).
I will not discuss the instantaneous speed and velocity nor will I write any example
problems of anything previously discussed. This was just a quick review of what
speed, velocity and acceleration are, along with distance and displacement.
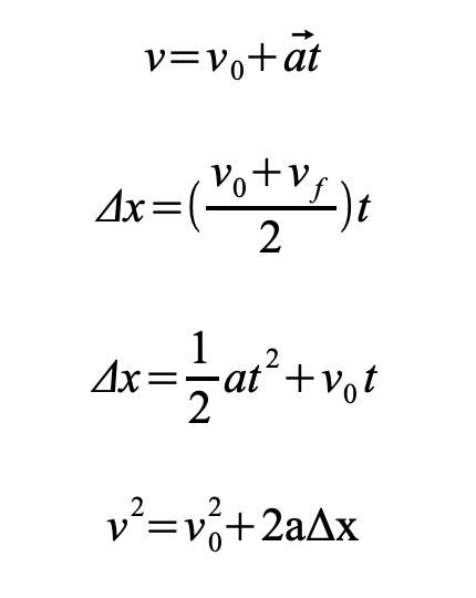
Kinematic Equation
The Kinematic Equations are given below (Tangerine Education, 2018),
So, let us break them down one by one.
Our first equation is as follows (Tangerine Education, 2018),

Knowing that we can understand that acceleration or “a” is the same as a = Δv/Δt.
Furthermore, change in velocity is also the equivalent of saying final velocity
minus initial velocity or v_f - v_0.
We can substitute that into the former acceleration-slope equation…

Let’s manipulate this algebraically to get our initial kinematic equation formula.

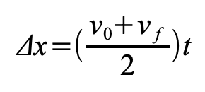
Moving on to our second equation and it is as follows (Tangerine Education, 2018),

We shall discuss what _average_ means here. Average is simply the addition of
certain numerical quantities divided over the number of them. In other words, it is
the sum divided by the count (Average, n.d.).
An example would be the average height in a classroom of three students. The
first student is 143 cm tall, the next is 150 cm, and as for the last one, the student
is 140 cm tall. With this set of values, we can add all of them together and then divide them by the number of students (3). The answer is an average of
144.333333 cm.
Let us keep that in mind while we do the second kinematic equation solution.
Our v_0 + v_f over 2 is simply,

Since the sum is of the two quantities (initial and final velocity) we must divide it by 2. If,
hypothetically there was a third variable one would divide it by 3. But there isn’t
and we can simply move on to the next part of the solution.
One can substitute the above image as below,
Now, to enhance this further we can use a velocity-time graph that I have created
where the x-axis is v (m/s) and the y-axis is time (t).
With the coordinates (3, 2). This means the area of the triangle shown is (1/2) *
height * base which is (1/2) * 3 * 2 = 3. Therefore, our Δx (displacement) = 3
metres.
One can also use the same graph for the previous equation done. Such that,
Taking our v_avg as 1 and multiplying it with 3 (that is time), we achieve the same result where Δx (displacement) = 3 metres.
And voila! We have proved the second kinematic equation!
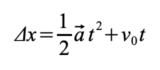
Moving on to the third equation we have (Tangerine Education, 2018),
One could proceed with this by using our previous kinematic equation and
eliminating v_f. Furthermore, we can go ahead and still substitute this by stating
that v_f is equal to v_0 + at our second equation (from our first).
And this is what we end up with,
Mind you, this is substituting the first kinematic equation into the second. We
haven’t done the working of the third one just yet…
Let’s simplify this by splitting them into fractions such that,
Now, by canceling the 2’s and using t as a distributive property we can arrive with
the steps below,
And there we have it! We have achieved our third kinematic equation with the help
of our first and second ones. Wasn’t too hard once we substitute, factorize, and
distribute.
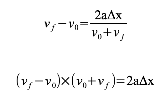
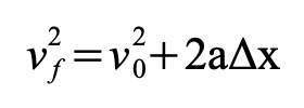
Now, we are on our final and last kinematic equation where we will once again be
using the first two kinematic equation to derive the last one (Tangerine Education, 2018)
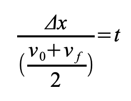
We notice that the variable time is a miss and hence we must solve for the time in
our second kinematic equation which is as follows,
Since (v_0 + v_f)/2 is being multiplied by t moving it to the other side of the equal
sign Δx will be divided by (v_0 + v_f)/2 which is mathematically viewed as,
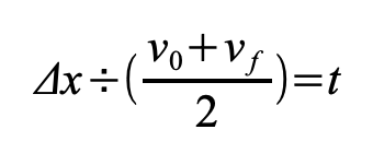
Or
Personally, for me, the latter is an easier way to visualize it. So, when we multiply it
the fraction reciprocates giving us (Dividing Fractions, n.d.),
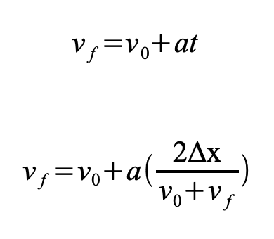
So, we know what time is and we can simply substitute it into the first equation.
Keep in mind for the third kinematic equation we used to the first equation to get
the second equation. For the fourth, it’s the other way around.
Once we have achieved this so far we can substitute time in our first equation.
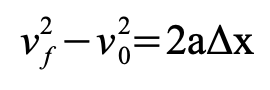
This will give us,
Quite a lot to unpack but have no fear; we can get through it!
Let us simplify by shifting our (positive) v_0 over the other side of the equal sign,
multiplying a with 2Δx, and moving v_0 + v_f on the opposite side of the equal sign
which turns it into multiplication. Together with the mentioned steps, we get,
We are almost done and are about to get our last kinematic equation. Let us now
multiply each variable such that,
The positive v_f v_0 and negative v_f v_0 gets canceled out and we are left with,
And finally, we move the (v_0)^2 on the opposite of the equation to give us,
AND WE ARE DONE! If you have understood any of this up until here, you are
ready for some crazy new problems where you can use these equations. Just a
note that the third and fourth kinematic equations were simply derived from the
first two equations. Which was a really fascinating way to do it. I was thrilled when
I understood this. One does not necessarily have to memorize them but
understand how they work and when to apply them accordingly. I suppose a little
memorization works. I was surprised when I hadn’t learned about this in high
school or perhaps I never paid much attention in class, to begin with.
Nevertheless, go forth and do science!
If there have been any problems with any of my explanations or equations feel free
to message me. Thank you!
References:
Acceleration. (2021). In Collins Dictionary. Retrieved from https://www.collinsdictionary.com/dictionary/english/acceleration
Average. (n.d.). Retrieved from https://www.mathsisfun.com/definitions/average.html
Dividing Fractions. (n.d.). Retrieved from https://www.mathsisfun.com/fractions_division.html
Khan, S. (n.d.). Distance and displacement review. Retrieved from https://www.khanacademy.org/science/high-school-physics/one-dimensional-motion-2/distance-displacement-and-coordinate-systems-2/a/relative-motion-review-article
Khan, S. [Khan Academy]. (2011, June 13th). Acceleration | One-dimensional motion | Physics | Khan Academy [Video File]. Retrieved from https://www.youtube.com/watch?v=FOkQszg1-j8
Khan, S. [Khan Academy]. (2018, March 3rd). Average velocity and speed worked example | One-dimensional motion | AP Physics 1 | Khan Academy [Video File]. Retrieved from https://www.youtube.com/watch?v=Dzw2nLd7DFw
Lau, E. (2005). Distance Displacement [Image]. Retrieved from https://commons.wikimedia.org/wiki/File:Distancedisplacement.png
Speed. (2021). In Collins Dictionary. Retrieved from https://www.collinsdictionary.com/dictionary/english/speed
Tangerine Education. (2018, Feb 2nd). How to Remember/Derive the Kinematics Equations [Video File]. Retrieved from https://www.youtube.com/watch?v=ZT1pwB8FFsg
Velocity. (2021). In Collins Dictionary. Retrieved from https://www.collinsdictionary.com/dictionary/english/velocity






































Comments